发布人:努尔夏提 发布时间:2019-09-21 点击次数:
公司全体本科生:
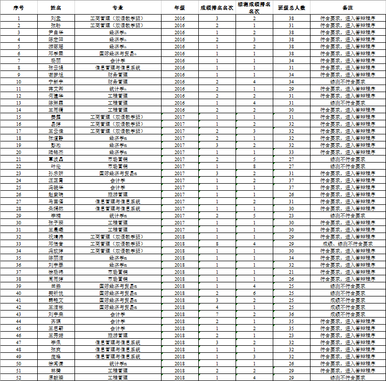
根据《集团公司国家奖学金评选办法》的相关要求,学院国家奖学金评审小组本着公开、公正、公平原则,现确定以下同学通过资格审核,进入答辩程序,上学年综合素质测评排名、学习成绩排名均位于班级前10%可以参加答辩展示。届时欢迎各年级同学到场学习观摩,并积极向优秀同学看齐。
公示如下:

答辩安排:
时间:9月24日 16:00-17:30(上半场) 18:30-20:30(下半场)
地点:MBA楼208教室
形式:采用“3+1”答辩方式,即答辩者从德、智、体、美、劳五方面进行3分钟PPT展示,表述自身申请优势,评委进行1分钟提问并打分。
注意事项:
1.场次及答辩顺序由学生会学习服务部统一协调安排。
2.参加答辩的同学务必着装得体。
3.PPT展示按照“德智体美劳”五方面进行汇报,展示时间为3分钟,评委提问时间为1分钟。
4.详细事宜由学生会学习服务部进行通知。
对上述信息有疑问的同学,请于2019年9月23日17:00前与学工组联系,联系人:张老师,电话:67883208。
经管学院学工组
2019年9月21日
